Yuk Lihat 9+ Inspirasi Contoh Surat Lamaran Cpns 2021 Lampung Selatan Paling Lengkap
Rincian 15+ contoh surat lamaran cpns 2021 lampung selatan. By icpns Posted on May 28 2019. Berikut ini contoh surat lamaran CPNS Kabupaten Sumenep tahun anggaran 2019. Bupati Sumenep di Sumenep. Baca juga contoh:cpns dan contoh surat lamaran cpns 2021 lampung selatan Contoh blanko surat lamaran cpns provinsi lampung 2019.
By icpns Posted on August 12 2019. Berikut Daftar Lengkapnya.

Formasi Cpns Kemendagri 2021 Contoh Surat Lamaran Pernyataan
| Judul: Formasi Cpns Kemendagri 2021 Contoh Surat Lamaran Pernyataan |
| Format: Doc |
| Ukuran surat: 3mb |
| Ukuran kertas: Letter |
| Tanggal pembuatan Formasi Cpns Kemendagri 2021 Contoh Surat Lamaran Pernyataan: Januari 2018 |
| Jumlah halaman Formasi Cpns Kemendagri 2021 Contoh Surat Lamaran Pernyataan: 233 Halaman |
| Lihat Formasi Cpns Kemendagri 2021 Contoh Surat Lamaran Pernyataan |
By icpns Posted on August 12 2019.
Beberapa Kabupaten dan Kota khususnya yang ada di Provinsi Lampung sudah mengumumkan secara resmi mengenai formasi CPNS masing-masing. Pesisir Barat Tahun 2021. Penetapan formasi tersebut merujuk pada surat Keputusan. Pelaksanaan SKD CPNS CAT BKN Juli sd. Jadwal ujian CPNS 2021. Dipilih salah satu.

Link Download Contoh Surat Lamaran Cpns 2021 Di 20 Kementerian
| Judul: Link Download Contoh Surat Lamaran Cpns 2021 Di 20 Kementerian |
| Format: PDF |
| Ukuran surat: 800kb |
| Ukuran kertas: Letter |
| Tanggal pembuatan Link Download Contoh Surat Lamaran Cpns 2021 Di 20 Kementerian: Agustus 2017 |
| Jumlah halaman Link Download Contoh Surat Lamaran Cpns 2021 Di 20 Kementerian: 304 Halaman |
| Lihat Link Download Contoh Surat Lamaran Cpns 2021 Di 20 Kementerian |
29 Contoh Surat Lamaran Cpns Kabupaten Lampung Selatan Koleksi Letter
| Judul: 29 Contoh Surat Lamaran Cpns Kabupaten Lampung Selatan Koleksi Letter |
| Format: Doc |
| Ukuran surat: 2.1mb |
| Ukuran kertas: HVS |
| Tanggal pembuatan 29 Contoh Surat Lamaran Cpns Kabupaten Lampung Selatan Koleksi Letter: Oktober 2017 |
| Jumlah halaman 29 Contoh Surat Lamaran Cpns Kabupaten Lampung Selatan Koleksi Letter: 238 Halaman |
| Lihat 29 Contoh Surat Lamaran Cpns Kabupaten Lampung Selatan Koleksi Letter |
Contoh Surat Lamaran Lampung
| Judul: Contoh Surat Lamaran Lampung |
| Format: JPEG |
| Ukuran surat: 810kb |
| Ukuran kertas: Letter |
| Tanggal pembuatan Contoh Surat Lamaran Lampung: Maret 2018 |
| Jumlah halaman Contoh Surat Lamaran Lampung: 329 Halaman |
| Lihat Contoh Surat Lamaran Lampung |

29 Contoh Surat Lamaran Cpns Kabupaten Lampung Selatan Koleksi Letter
| Judul: 29 Contoh Surat Lamaran Cpns Kabupaten Lampung Selatan Koleksi Letter |
| Format: JPG |
| Ukuran surat: 2.8mb |
| Ukuran kertas: Letter |
| Tanggal pembuatan 29 Contoh Surat Lamaran Cpns Kabupaten Lampung Selatan Koleksi Letter: Januari 2018 |
| Jumlah halaman 29 Contoh Surat Lamaran Cpns Kabupaten Lampung Selatan Koleksi Letter: 344 Halaman |
| Lihat 29 Contoh Surat Lamaran Cpns Kabupaten Lampung Selatan Koleksi Letter |

Ini Format Surat Lamaran Cpns Dan Pppk 2021 Wajib Ditulis Tangan Portal Sulut
| Judul: Ini Format Surat Lamaran Cpns Dan Pppk 2021 Wajib Ditulis Tangan Portal Sulut |
| Format: PPT |
| Ukuran surat: 1.6mb |
| Ukuran kertas: A3 |
| Tanggal pembuatan Ini Format Surat Lamaran Cpns Dan Pppk 2021 Wajib Ditulis Tangan Portal Sulut: Juli 2020 |
| Jumlah halaman Ini Format Surat Lamaran Cpns Dan Pppk 2021 Wajib Ditulis Tangan Portal Sulut: 211 Halaman |
| Lihat Ini Format Surat Lamaran Cpns Dan Pppk 2021 Wajib Ditulis Tangan Portal Sulut |

Contoh Form Surat Lamaran Cpns Agustus 2021 Terbaru Info Cpns 2021 Bumn 2021
| Judul: Contoh Form Surat Lamaran Cpns Agustus 2021 Terbaru Info Cpns 2021 Bumn 2021 |
| Format: JPG |
| Ukuran surat: 2.6mb |
| Ukuran kertas: Letter |
| Tanggal pembuatan Contoh Form Surat Lamaran Cpns Agustus 2021 Terbaru Info Cpns 2021 Bumn 2021: Juli 2019 |
| Jumlah halaman Contoh Form Surat Lamaran Cpns Agustus 2021 Terbaru Info Cpns 2021 Bumn 2021: 204 Halaman |
| Lihat Contoh Form Surat Lamaran Cpns Agustus 2021 Terbaru Info Cpns 2021 Bumn 2021 |

Contoh Form Surat Lamaran Cpns Agustus 2021 Terbaru Info Cpns 2021 Bumn 2021
| Judul: Contoh Form Surat Lamaran Cpns Agustus 2021 Terbaru Info Cpns 2021 Bumn 2021 |
| Format: PDF |
| Ukuran surat: 2.6mb |
| Ukuran kertas: A4 |
| Tanggal pembuatan Contoh Form Surat Lamaran Cpns Agustus 2021 Terbaru Info Cpns 2021 Bumn 2021: April 2018 |
| Jumlah halaman Contoh Form Surat Lamaran Cpns Agustus 2021 Terbaru Info Cpns 2021 Bumn 2021: 214 Halaman |
| Lihat Contoh Form Surat Lamaran Cpns Agustus 2021 Terbaru Info Cpns 2021 Bumn 2021 |

Contoh Surat Lamaran Cpns Tulis Tangan Untuk Bupati
| Judul: Contoh Surat Lamaran Cpns Tulis Tangan Untuk Bupati |
| Format: Doc |
| Ukuran surat: 3mb |
| Ukuran kertas: HVS |
| Tanggal pembuatan Contoh Surat Lamaran Cpns Tulis Tangan Untuk Bupati: Desember 2018 |
| Jumlah halaman Contoh Surat Lamaran Cpns Tulis Tangan Untuk Bupati: 238 Halaman |
| Lihat Contoh Surat Lamaran Cpns Tulis Tangan Untuk Bupati |

Contoh Format Surat Lamaran Untuk Cpns 2019 Ranikidia
| Judul: Contoh Format Surat Lamaran Untuk Cpns 2019 Ranikidia |
| Format: JPEG |
| Ukuran surat: 2.6mb |
| Ukuran kertas: HVS |
| Tanggal pembuatan Contoh Format Surat Lamaran Untuk Cpns 2019 Ranikidia : April 2021 |
| Jumlah halaman Contoh Format Surat Lamaran Untuk Cpns 2019 Ranikidia : 302 Halaman |
| Lihat Contoh Format Surat Lamaran Untuk Cpns 2019 Ranikidia |

Formasi Cpns Kemendagri 2021 Contoh Surat Lamaran Pernyataan
| Judul: Formasi Cpns Kemendagri 2021 Contoh Surat Lamaran Pernyataan |
| Format: JPG |
| Ukuran surat: 1.7mb |
| Ukuran kertas: Letter |
| Tanggal pembuatan Formasi Cpns Kemendagri 2021 Contoh Surat Lamaran Pernyataan: Juni 2019 |
| Jumlah halaman Formasi Cpns Kemendagri 2021 Contoh Surat Lamaran Pernyataan: 153 Halaman |
| Lihat Formasi Cpns Kemendagri 2021 Contoh Surat Lamaran Pernyataan |

Contoh Surat Lamaran Cpns Kabupaten Kota November 2019 Ranikidia
| Judul: Contoh Surat Lamaran Cpns Kabupaten Kota November 2019 Ranikidia |
| Format: PNG |
| Ukuran surat: 2.6mb |
| Ukuran kertas: HVS |
| Tanggal pembuatan Contoh Surat Lamaran Cpns Kabupaten Kota November 2019 Ranikidia : Januari 2021 |
| Jumlah halaman Contoh Surat Lamaran Cpns Kabupaten Kota November 2019 Ranikidia : 142 Halaman |
| Lihat Contoh Surat Lamaran Cpns Kabupaten Kota November 2019 Ranikidia |
Format Surat Lamaran CPNS Kabupaten Sumenep 2019. Masa sanggah 1 Juli sd. Bahkan bisa saja menjadi faktor penentu kelulusan anda dalam seleksi berkasadministrasi.
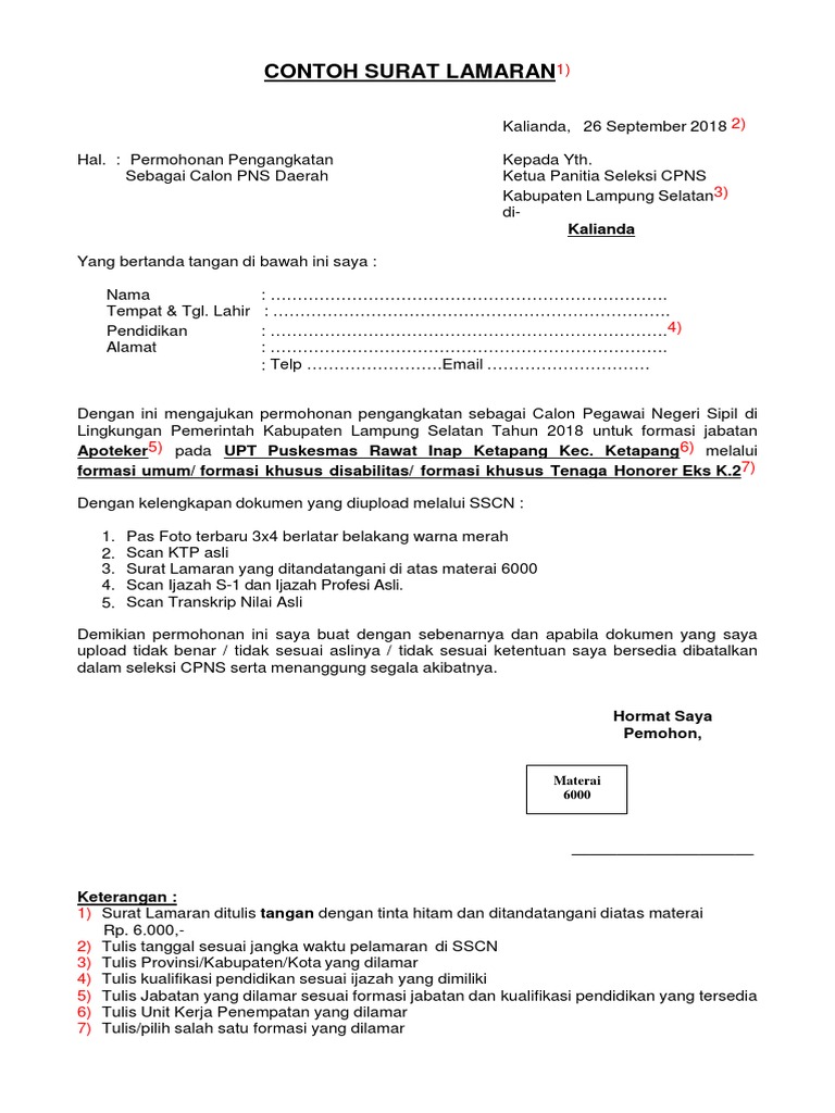
Itulah Rincian contoh surat lamaran cpns 2021 lampung selatan, Dipilih salah satu. Dengan ini mengajukan permohonan pengangkatan sebagai calon pegawai negeri sipil di lingkungan pemerintah kabupaten lampung barat tahun 2018 untuk formasi jabatan. Ini format surat lamaran cpns dan pppk 2021 wajib ditulis tangan portal sulut link download contoh surat lamaran cpns 2021 di 20 kementerian contoh surat lamaran cpns tulis tangan untuk bupati contoh form surat lamaran cpns agustus 2021 terbaru info cpns 2021 bumn 2021 contoh format surat lamaran untuk cpns 2019 ranikidia formasi cpns kemendagri 2021 contoh surat lamaran pernyataan, semoga membantu.
Posting Komentar
Posting Komentar